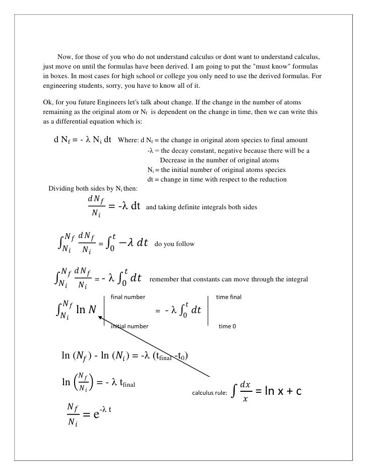
half life formula calculus
So 25 g of carbon-14 will. Half-life means that half of the material is gone in 1690 years.
Radioactive Decay Formula Radioactive Half Life 0 693 Radioactive Decay Constant Physics Topics Science Themes Physics
Then A 800 12 300006000 800 12 5 800 05 5 800003125 25.
. So we can substitute this value in for y and then simplify the decay formulafracC2Cektfrac12ekt. Td ln2 r t d ln 2 r. The word average in this definition refers to the statistical nature of.
N t the quantity that still remains and has not yet decayed after a time t. The mathematical representation of Half life is given by Half life. So when were dealing with half life specifically instead of exponential decay in general we can use this formula we got from substituting y c 2 yc2 y c 2.
Log e N log e N o λt. PDF ePub eBook Category. Sometimes we know the percent change r in ftAcdot1rt but were interested in the half-life or doubling time.
Log e NN o λt i At half-life the value of N reduces to half of the initial value. N t N 0 05 t T. Half life usually denoted as t12 is the average time it takes for half of the radioactive atoms in a very large group to decay.
This is likewise one of the factors by. Where k is the decay. The general equation with half life.
N 0 the initial quantity of the substance that will decay. Identify the given growth or decay rate. T1 2 ln2 k t 1 2 ln 2 k.
Half-Life Decay Formula. For half-life we use the equation At A_o ekt. Calculate the Half-life or Doubling Time using the expression.
Thus N N o 2. 465 from 566 votes. Half-life is the time required for the amount of something to fall to half its initial value.
Learn the formula for half life as well as see an example in this free math video tutorial by Marios Math Tutoring009 Formula for Calculating Half Life03. They give us the initial amount but we dont need it to determine k. We know that there.
N t N 01 2 t t12 N t N 0 1. It is the time requires to decay in half. Calculate the half life of.
A P12 td. So when were dealing with half life. In which N 0 is the number of atoms you start with and N t the number of atoms left after a certain time t for a.
The formula calculating how much of a substance remains N t N t of some original amount N 0 N 0 after an amount of time t t is. Putting this value in the above equation. Approximate Half-Life and Doubling-Time.
The half-life eqt_ 12 eq of a substance with decay constant eqlambda eq can be calculated as eqt_ 12 dfrac ln 2 lambda eq seconds. T 12 the half-life of the decaying quantity.
Ap Ab Calculus Half Lives Objective To Derive The Half Life Equation Using Calculus To Learn How To Solve Half Life Problems To Solve Basic And Challenging Ppt Download
19 5 Integral Calculus Dive Into Deep Learning 1 0 0 Alpha1 Post0 Documentation
Decay Graphs And Half Lives Article Article Khan Academy
Ex Exponential Decay Function Half Life Math Help From Arithmetic Through Calculus And Beyond
Exponential Decay How To Calculate It And Examples In Matlab
Solved Strontium 90 Has A Half Life Of 28 Days A A Sample Has A Mass Of 50 Mg Initially Find A Formula For The Mass Remaining After T Days B Find The Mass
Exponential Decay Formula Proof Can Skip Involves Calculus Video Khan Academy
Half Life Formula Biology Forums Gallery
Ch 6 4 Exponential Growth Decay Calculus Graphical Numerical Algebraic By Finney Demana Waits Kennedy Ppt Video Online Download
Decay Graphs And Half Lives Article Article Khan Academy
12 Half Life Ideas Half Life Chemistry Physical Science
How To Find Half Life Or Doubling Time Precalculus Study Com
Solved Find The Associated Half Life Or Doubling Time Hint See Chegg Com



